Examples
Documentation
Interfaces
API
Updates
Contact
×
Search CanvasXpress
Area
AreaLine
Bar
BarLine
Boxplot
Bubble
Bullet
Chord
Circular
Contour
Correlation
Dashboard
Density
Donnut
DotLine
Dotplot
Dumbbell
Facet
Fish
Functions
Gantt
Genome
Heatmap
Hexplot-Binplot
Histogram
Kaplan-Meier
Layout
Line
Linear-Fit
Lollipop
Map
Meter
Network
NonLinear-Fit
Oncoprint
ParallelCoordinates
Pie
Radar
Remote-Graphs
Ridge-Line
SPLOM
Sankey
Scatter2D
Scatter3D
ScatterBubble2D
Stacked
StackedLine
StackedPercent
StackedPercentLine
Streamgraph
Sunburst
TCGA
TagCloud
Tree
Treemap
UpSet
Venn
Violin
Waterfall
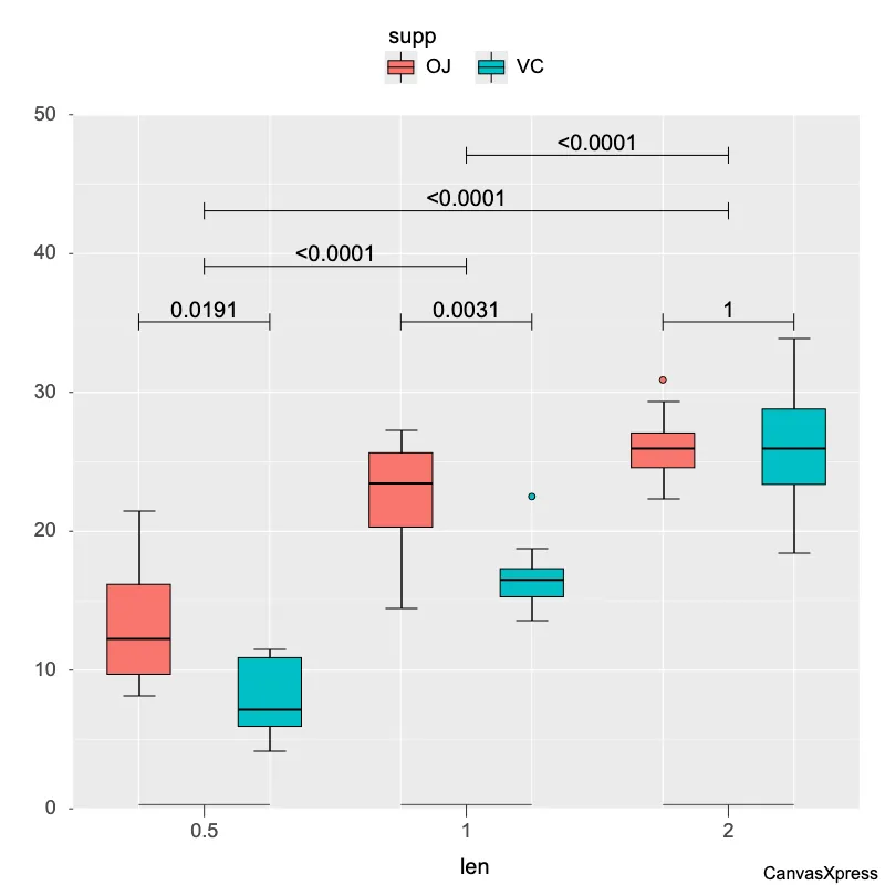
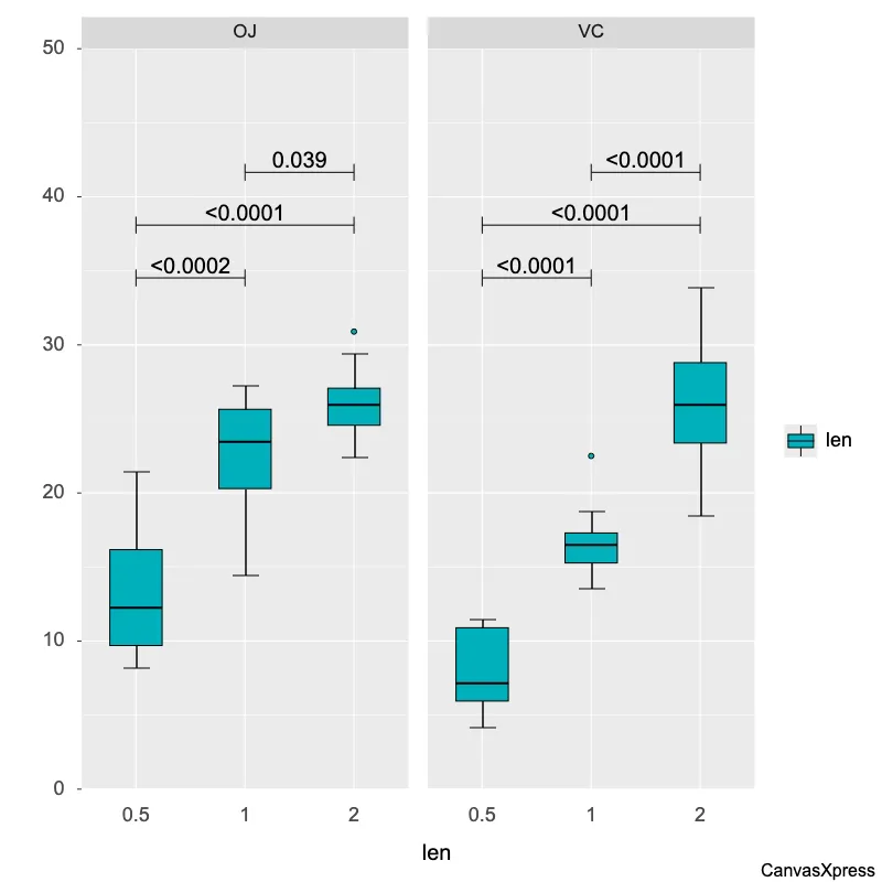
Boxplot Chart
Show All
⇧